携手同行,共创辉煌!
综合新闻
当前位置:首页 > 新闻中心 > 综合新闻

住房和城乡建设部要求做好2020年城市排水防涝工作

发布日期:2020-03-26 来源:中国建设报
  为贯彻习近平总书记在统筹推进新冠肺炎疫情防控和经济社会发展工作部署会议上的重要讲话精神,按照国家防汛抗旱指挥部办公室《关于抓紧做好汛前准备工作的通知》要求,在统筹推进新冠肺炎疫情防控工作的同时,做好城市排水防涝工作,住房和城乡建设部近日印发了关于做好2020年城市排水防涝工作的通知并通告了全国城市排水防涝安全责任人及重要易涝点整治责任人名单。
  通知要求:
  严格落实工作责任
  省级住房和城乡建设(水务)主管部门要督促本地区城市落实《住房和城乡建设部关于2020年全国城市排水防涝安全及重要易涝点整治责任人名单的通告》要求,将工作责任逐一落实到具体岗位和个人,杜绝出现责任盲区。城市排水防涝安全责任人要根据当地新冠肺炎疫情防控形势,扎实推进城市排水防涝工作,确保城市安全度汛,避免出现因暴雨内涝导致的人身伤亡事故和重大财产损失。
  加强安全隐患排查整治
  省级住房和城乡建设(水务)主管部门要指导督促本地区城市排水主管部门分区分类开展排水防涝隐患排查整治,及时清疏堵塞的排水管网,确保排水能力;及时补齐修复丢失、破损的窨井盖,落实防坠落措施;做好易积水路段周边路灯、通信等配电设施的安全防护,防止人员触电;在易发内涝积水的立交桥下、过街通道、涵洞等设置必要的监控设备、警示标识,汛期时根据需要安排人员值守;加强泵站、闸门等设施的汛前维护,确保安全、正常运转;疏浚具有排涝功能的城市河道,保障雨水行泄通畅。
  加强作业人员防护
  省级住房和城乡建设(水务)主管部门要指导督促本地区城市排水主管部门,在新冠肺炎疫情高风险城市的全部区域和新冠肺炎疫情中、低风险城市中的医院、集中隔离点周边区域开展管道清疏时,采用机械化作业,尽可能减少作业人员接触污水;确需人员下井作业的,要切实做好安全防护,穿戴防护服、佩戴口罩和护目镜等。严格执行管道、暗涵、集水井等密闭空间的安全操作规程,落实安全生产措施,避免发生作业人员中毒、坠落等伤亡事故。
  完善落实应急预案
  省级住房和城乡建设(水务)主管部门要指导督促本地区城市排水主管部门总结往年工作经验,及时完善城市排水防涝应急预案,细化应急响应程序和处置措施;进一步加强与应急管理、公安、消防、交通运输、水利、气象等部门的联动,做好河道与市政排水管网的水位协调调度,协助做好汛期城市交通组织、疏导和应急救援疏散等;要按照应急预案备足防汛抢险物资,充实抢险队伍并开展培训演练。
  加快易涝区段整治工作
  省级住房和城乡建设(水务)主管部门要指导督促本地区城市排水主管部门按照统筹城市防洪与城市排水防涝的工作要求,扎实推进城市易涝区段整治,补齐短板。《防汛抗旱水利提升工程实施方案》确定的100个易涝城市,要在每季度第一个月15日前填报易涝区段整治进展信息。
  做好汛期值守和信息报送
  省级住房和城乡建设(水务)主管部门要督促本地区城市排水主管部门严格执行汛期值守制度,落实专人值班;要加强与气象、水利、应急管理等相关部门的信息共享,及时掌握雨情、涝情、水情。
  加大宣传引导力度
  地方各级排水主管部门要广泛宣传城市排水防涝安全常识,提高公众防灾避险意识和自救能力;及时准确发布预警预报信息,引导公众主动应对;积极回应媒体舆论关切,主动发言发声,做好舆论引导工作。
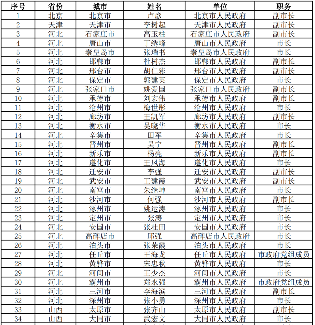
  附件1
  城市排水防涝安全责任人名单    
  (部分)
  附件2
  重要易涝点整治责任人名单
  (部分)
Baidu
map