2020年城乡建设统计年鉴公布:全国城市污水处理厂2618座,粤、鲁、苏分别超200座!
一.城市部分
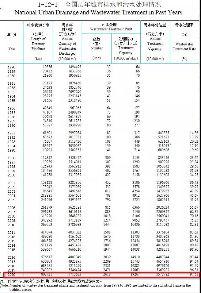
截至2020年,全国城市污水处理厂2618座,处理能力为19267万立方米/日,污水年排放量5713633万立方米,污水年处理量为5572782万立方米,污水日处理量为19267万立方米/日。城市污水处理率为97.53%,城市污水处理厂集中处理处理率为95.78%。
2020年,我国城市建成区排水管道密度为11.11公里/平方公里,排水管道长度为802721公里。
2020年,全国干污泥产生量为11627678.15吨,干污泥处置量为11160221.68吨。
2020年,全国城市市政再生水生产能力为6095.16万立方米/日,市政再生水利用量为1353832.24万立方米,管道长度为14630.02公里。
截至2020年,全国县城污水处理厂1708座,污水处理率为95.05%,其中,重庆、宁夏、河北、山东的县城污水处理率最高,四川、河南、河北等地县城的污水处理厂数量最多;2020年,全国县城污水处理厂集中处理率为94.42%,排水管道长度22.39万公里,建成区排水管道密度为9.6公里/平方公里。
2020年,全国县城污水处理年排放量103.76亿立方米,污水处理能力3770万立方米/日,年污水处理总量98.62亿立方米。
2020年,全国县城干污泥产生量1699187吨,干污泥处置量1619994吨。


建制镇
截至2020年,对生活污水进行处理的建制镇为12300个,污水处理比例为65.35%,其中四川、山东建制镇污水处理厂分别超千个。
截至2020年,全国建制镇污水处理厂11374个,污水处理能力为2740万立方米/日,污水处理装置处理能力为2157万立方米/日。
截至2020年,全国建制镇排水管道长度19.8万公里,2020年新增1.86万公里,排水暗渠长度11.39万公里,本年新增0.87万公里。
截至2020年,对生活污水进行处理的镇乡级特殊区域为234个,比例为52.35%;镇乡级特殊区域污水处理厂170个,处理能力为32.58万立方米/天;污水处理装置处理能力为43.08万立方米/日;排水管道长度3571.20公里,2020年新增148.53公里。