导 读
为提高大型MBR再生水厂生物脱氮效率,降低外加碳源成本,从物料平衡的角度出发,研究同步硝化反硝化、生物合成、缺氧反硝化等因素对于生物脱氮的贡献。并结合配水优化、水力负荷控制、内回流消氧等多种工艺管控手段,对某大型MBR再生水厂脱氮过程进行全面优化。结果表明,某水厂总氮的去除主要通过剩余污泥排放和缺氧反硝化两个方面实现;以氨氮为指示物并配合进水闸门改造工作,能够明显提高生物池配水均匀度;建立物料平衡模型,并结合运行管控手段,某水厂在进水BOD5/TN均值为2.75的情况下,系统脱氮效率为77%,进水总氮去除率为89%,并实现了2021年零碳源投加脱氮。
引言
北京市某再生水厂投产于2016年,处理规模为60万m³/d,主体工艺采用AAO-MBR工艺。污水由管网汇集进入厂前,经过30 mm粗格栅和10 mm中格栅后由提升泵提升至地下,流经4 mm细格栅、曝气沉砂池、初沉池及1 mm膜格栅,然后进入生物池及MBR膜池。设计出水水质满足《城镇污水处理厂水污染物排放标准》(DB 11/890-2012)B标准的相关要求。
本文从物料平衡的角度出发,对某水厂脱氮过程的关键控制因素进行研究,并结合配水优化、水力负荷控制、内回流消氧等多种工艺管控手段,开展某大型全地下MBR再生水厂低碳氮比下零碳源投加脱氮工作的探索与实践。
1 MBR系统氮物料平衡研究
污水生物脱氮是指在活性污泥微生物的新陈代谢作用下,将污水中的含氮化合物转化为N2而最终逸出到大气的过程。一般来说,再生水厂氮的去除主要包括剩余污泥排放、好氧区同步硝化反硝化(SND)以及缺氧反硝化等方面。氮在污水处理系统内的平衡见式(1):

物料平衡可以更好地从数据层面分析污水处理系统氮的平衡转换情况,为更好地实现污水脱氮过程提供依据。
1.1 剩余污泥排放
微生物在生长繁殖过程中,会摄取污水中一部分氮来合成自身细胞组分,采用《城镇污水处理厂污泥检验方法》(CJ/T 221-2005)第49章中的方法对剩余污泥中氮含量进行检测,检测时间为2020年,检测结果见表1。
表1 剩余污泥中含氮量检测结果
从检测结果来看,剩余污泥组分的含氮量平均值约为4%。通过核算每日系统中排放的剩余污泥干固量,基本能够确定从系统中排出的TN的含量。
1.2 同步硝化反硝化(SND)
同步硝化反硝化(SND)技术指的是硝化和反硝化过程在同一个反应器中同时发生,系统不需要明显的缺氧时间段或缺氧分区而能将总氮脱除的技术。目前主要有3种理论来解释:宏观缺氧理论、微观缺氧理论和微生物学理论,通过检测生物池好氧段进出水总氮浓度变化,可近似得出系统内SND对于脱氮的贡献。
再生水厂以3.75万m³/d规模生物池为研究对象,控制该生物池污泥浓度为6 500 mg/L、水温23 ℃、混合液回流比为500%、生物池好氧区前、中、后段DO分别为1.5 mg/L、1.2 mg/L以及0.5 mg/L。对好氧段进出水的总氮浓度变化进行检测,结果如图1所示。

由检测结果可知,再生水厂好氧段进出水TN差值的平均值为0.6 mg/L,基本不存在SND效果,主要原因为:
MBR系统由于其特殊性,污泥絮体常年较为松散,中位径为41.43 μm(见图2),无法满足微观缺氧环境;
生物池好氧区基本为完全混合状态,进水端至出水端DO基本处于1~2 mg/L,难以形成宏观缺氧环境。
因此,在研究本厂生物脱氮时,不考虑SND的贡献。

1.3 缺氧区反硝化脱氮
一般认为,反硝化脱氮主要受温度、进水BOD5/TN及回流比等因素的影响。再生水厂主要构筑物均为地埋式,冬季水温可基本保证在15 ℃以上,反硝化效率受温度的影响不大。因此,内回流比及进水BOD5/TN成为影响反硝化效果的主要因素。
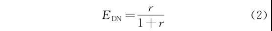
生物池内回流比大小直接决定脱氮效率。在假设生物硝化及反硝化效率均为100%的前提下,脱氮效率随着内回流比的增大而增大,脱氮效率EDN计算见式(2):

式中 r——内回流比。
然而在实际运行过程中,受回流液中DO浓度的影响,反硝化效率很难达到理论值。如表2所示,再生水厂2021年1月至5月进水BOD5/TN的平均值为2.75,低于2.86的理论值。日常该水厂生物池内回流比为350%左右,按照式(2)计算理想状态下的脱氮效率为78%,在未投加外加碳源的情况下生物系统实际反硝化脱氮效率为77%(见表3)。考虑剩余污泥排放中携带的氮含量,进水总氮平均去除率为89%。

在进水BOD5/TN低于理论值的情况下,本厂仍能实现较高的脱氮效率,主要原因有以下两个方面:
因采用MBR工艺,污泥浓度日常控制在6 000~8 000 mg/L,污泥泥龄为40 d以上。较高的污泥浓度及污泥泥龄为内源反硝化提供了条件;
对于运行参数控制较为严格,通过控制水力负荷、回流液DO浓度、优化配水均匀度等方式,提高碳源利用效率,该部分内容将在后文详细阐述。
2 水厂实际运行过程中影响因素控制
再生水厂在实际运行中,受到内回流比、回流液DO浓度、进水配水不均、水力负荷波动等因素的影响,脱氮过程并不能按照理想状态发生,导致出水TN出现波动。因此,除了从物料平衡的角度研究脱氮过程,还需考虑配水均匀度、进水负荷等因素的影响,全方位把控脱氮过程。
2.1 水力负荷控制
受城市生产活动的影响,污水处理厂在实际运行过程中不同时段、季节来水水量呈规律性波动。水力负荷过低或水量时变化系数过大对回流液DO浓度、内回流比等脱氮重点指标控制会带来一定困难。以再生水厂2020年来水情况为例,水量峰谷差值比例超过50%(见图3a),瞬时最低负荷仅为设计值的30%。不同月份水量差异也较为明显,最低负荷仅为设计值的53%(见图3c)。

再生水厂结合来水时变化及日变化规律,通过生物池及膜池间歇停运的方式(见表4),提高日水力负荷至70%以上。并充分利用上游污水管网调蓄功能,控制瞬时最低抽升量不低于运行曝气池负荷的60%(见图3b)。

生物池停运期间,还应加强对池内正磷酸盐浓度变化的检测。再生水厂在生物池停运期间,生物池内出现正磷酸盐浓度升高的现象。主要发生时间为停运后的24~48 h内,停运生物池内正磷酸盐浓度出现快速上升。在生物池恢复搅拌并投加一定浓度的聚氯化铝(PAC)后,生物池的正磷酸盐浓度逐步恢复正常,随后恢复产水。
分析主要是由于此座生物池停运期间,好氧区曝气系统、内回流泵等设备均处于关闭状态,池体内部搅拌不充分,导致生物池出现“无效释磷”现象。已有研究表明,在没有以VFA形式存在的能源可供微生物吸收时,所释放的磷不能通过再曝气得到微生物的重新吸收。在生物池恢复搅拌及回流后,正磷酸盐快速下降,分析是由于重新开启了曝气及水下搅拌器等设备,富含PAC的化学污泥对停运期间释放的正磷酸盐重新进行吸附和网补作用,使池内正磷酸盐浓度迅速降低。
建议其他水厂在进行生物池停运工作时,应适当开启搅拌器、推进器或微量曝气,保证生物池一定的搅拌效果,停运时间不宜超过48 h,且应在停运生物池水质达标后再恢复产水。
2.2 生物池配水优化
在实际运行过程中,由于施工误差、水力流态等因素影响,各池组之间存在配水不均问题。配水不均现象在大部分水厂运行过程中均有发生,大型水厂受到的影响更为突出。
某水厂生物池采用AAO工艺(见图4),配水不均导致各池组水力负荷及污染物负荷不一致,影响生物池脱氮效率。解决配水不均问题,提高生物池配水均匀度,有助于提高脱氮效率,降低运行成本。

在不考虑厌氧区和缺氧区氨氮浓度变化的情况下,以氨氮作为指示物,在固定回流量的前提下,化验缺氧一段出水氨氮浓度,能够确定定每座生物池进水比例。为方便运行人员开展配水作业,水厂将原有普通电动闸门改造为带有刻度显示的auma电动头,并将开度信号上传至远程中控室上位机,实现闸门开度的精确调整。
如图5所示,开展配水优化工作后,各生物池间进水均匀度明显提升,同一系列各生物池间进水比例差值由33%降低至15%左右。

2.3 内回流溶解氧浓度控制
一般认为,在保证缺氧反硝化环境的前提下,适当增大内回流比可以获得更低的出水总氮浓度,但受配水不均、水力负荷波动大等因素的影响,生物池好氧区末端DO难以稳定控制在0.5 mg/L以下(见图6a),导致内回流携带大量DO破坏缺氧区反硝化环境。提高内回流比反而会导致回流至缺氧区DO含量增多,需要更多的COD来抵消掉多余的DO,影响脱氮效率。
通过配水优化、抽升控制、生物池倒运等方式,稳定生物池水力负荷。优化后,生物池DO稳定性明显提高(见图6b),末端DO浓度基本低于0.5 mg/L,满足反硝化对于DO浓度的要求,同时大大降低了回流液中的DO对于进水碳源的浪费。

3 物料平衡体系在实际运行中的应用与反馈
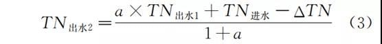
在满足脱氮要求的前提下,内回流比对于脱氮的影响可以通过式(3)来表征。

式中 a——内回流比;
TN出水1——当日出水TN,mg/L;
TN进水——当时进水TN,mg/L;
TN出水2——次日出水TN,mg/L;
ΔTN——进水有机物及外加碳源等有机物对于脱氮的贡献,mg/L。
以再生水厂2020年2月份的实际出水TN与物料平衡方程模拟出水TN进行对比,结果如图7所示。

结果表明,模拟结果与实际出水TN浓度较为接近,相关性为0.67,在实际水厂运行中具有较强的相关性,该平衡方程式能够较好的预测出水TN变化情况,并为实际生产提供指导。
通过对脱氮过程的物料平衡研究与运行优化控制,再生水厂的碳源利用率有明显提升,逐步降低生化系统甲醇投配率并于2021年实现了低进水C/N比下的零碳源脱氮(见图8)。

4 结论
(1)在大型MBR系统中,氮主要通过缺氧区反硝化和剩余污泥排放去除。某水厂剩余污泥中TN含量约为4%,每日剩余污泥排放中携带的TN含量约为8 mg/L。氮的去除主要在缺氧区通过反硝化过程去除,脱氮效率为77%。因泥龄较长,污泥絮体较松散,活性污泥絮体常年较为松散,中位径为41.43 μm,基本不存在SND效果。
(2)再生水厂在实际运行过程中,应综合考虑配水均匀度、水力负荷变化、内回流溶解氧浓度对脱氮过程的影响,通过优化生物池配水、生物池倒运、降低内回流溶解氧浓度等方式,提高脱氮效率。
(3)在再生水厂实际运行过程中,通过建立TN物料平衡方程式,能够根据进水水质近似模拟出水TN浓度。物料平衡模拟结果与实际出水TN浓度较为接近,相关性为0.67,对实际生产具有指导意义。
(4) 通过建立氮的物料平衡模型,对工艺运行参数进行过程控制,再生水厂甲醇投配率逐渐降低,于2021年实现了碳源零投加。
微信对原文有修改。原文标题:大型MBR再生水厂零碳源投加脱氮的探索与实践;作者:任天昊、程秋音、阜崴、曹静、郭俊温、张铁军、马文;作者单位:北京城市排水集团有限责任公司。刊登在《给水排水》2021年第10期。












