近日,《净水技术》小编关注到,浙江大学张可佳副教授团队在供水管网中的嗅味问题研究上又有了新的突破,成果被发表在国际知名期刊Water Research, Journal of Hazardous Materials 和Science of the Total Environment上。净水技术特邀请张可佳副教授结合以往团队研究进行整理,分享对卤代苯甲醚(Haloanisoles, HA)引起的管网水嗅味问题的研究成果,以期为今后龙头水土霉味问题的解决技术提供理论基础。
背景
近年来,供水管网引发的嗅味问题受到了越来越多的关注,已成为我国饮用水品质保障中一项亟需解决的问题。卤代苯甲醚(Haloanisoles, HA)是饮用水中一类土霉味的嗅味物质,主要由供水管网内的微生物代谢分泌产生。HA在国内外管网水中都普遍存在,且其嗅阈值较低(表1),因此容易引发管网末梢水的异嗅异味问题。
HA的主要生成路径如图1所示:人为排放、加氯消毒、管道释放等因素造成管网水中会残留一定量的卤代苯酚(HP)。作为前体物,HP羟基上的氢原子在微生物O-甲基转移酶(OMT)的催化下,可被甲基供体提供的甲基所取代,生成甲基化产物HA。该过程可视为微生物对HP的解毒作用,但同时产生的副产物HA又引发了饮用水嗅味问题,是造成自来水感官指标不佳的重要因素之一。


图1:管网内HA的生成路径示意图
目前有关HA在管网中生成的深入机制尚不明确,许多科学问题亟待解决。其中几个关键问题为:(1)HA在管网内的生成规律如何,有哪些主要的影响因素?(2)管网内潜在HA生成微生物的种类是什么,它们在反应过程中会发生何种变化?(3)优势HA生成微生物的HP甲基化特点有哪些?针对上述问题,本课题组对管网内微生物生成HA的规律和机理进行了较为深入的探索研究,计划为今后龙头水土霉味问题的解决技术提供理论基础。
主要研究内容
本课题组利用中试管网平台(图2(a))和模拟管网环形反应器(AR,图2(b)),研究了不同影响因素(管材、流速、温度和余氯)下管网内典型HA的生成情况。基于16S rRNA和ITS1基因测序技术,初步揭示了管网生物膜中潜在HA生成微生物的种类,并研究了甲基化反应前后生物量和群落结构的变化。从AR 中分离纯化出了几株细菌,根据各自在实际管网中的相对丰度和HA 生成能力,筛选出了优势HA生成菌,并在此基础上建立了潜在HA嗅味风险评估方法。

(a)

(b)
图2:中试管网平台(a)和AR(b)实物图
重亮点简介
1. 筛选出了影响HA生成的关键因素和浓度最大的HA种类
如图3所示,管材、温度、流速和余氯均会影响2,4,6-TCA的生成,具体表现为:铸铁管生成2,4,6-TCA的浓度最高(385ng/L),其次是不锈钢管(320ng/L),PE 管产生的2,4,6-TCA浓度最低(97.0ng/L);温度从20℃上升到30℃时,2,4,6-TCA 的生成量可增加7.23%~53.5%;主体水流速增加(从0.1增加到1.4m/s)促进了2,4,6-TCA的生成;3mg/L余氯对2,4,6-TCA 生成的抑制率为38.8%~47.1%。其中,管材由于直接与管壁生物膜的生物量有关,因而对2,4,6-TCA生成的影响最为显著。

图3:管网内不同因素(a管材、b温度、c流速和d余氯)对2,4,6-TCA生成的影响
如图4所示,5种HA 生成量由大到小依次为:2,3,6-TCA>2,4-DCA>2,4,6-TBA~ 2,4,6-TCA>2-MCA。其中2,3,6-TCA为生成量最大的HA,这与实际调查的结果相符合。

图4:5种HA在AR内52h的生成量
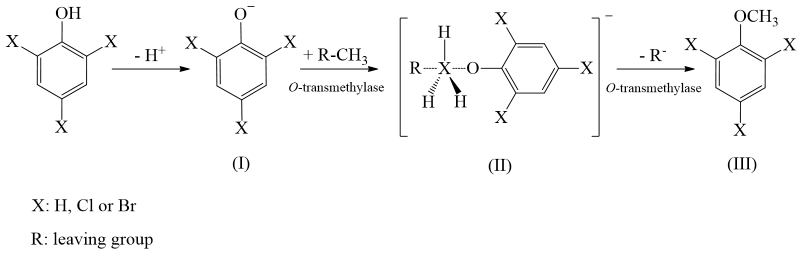
关于2,3,6-TCA具有最大生成量的原因,除了OMT具有底物专一性外,还可能与前体物HP的解离能力有关。如图5所示,HP需要将H+解离后才可被甲基结合,因此处于酚离子形态的HP更易发生反应。2,3,6-三氯苯酚(2,3,6-TCP)的pKa值最低,更易解离生成酚离子,因此容易被甲基化为2,3,6-TCA。

图5:HP发生O-甲基化反应的分子机制
2. 揭示了潜在HA生成微生物种类及其变化规律
生物膜内细菌和真菌都可以甲基化产生HA,其中细菌包括:不动杆菌属(Acinetobacter)、假单胞菌属(Pseudomonas)、细杆菌属(Microbacterium)、红球菌属(Rhodococcus)、链霉菌属(Streptomyces)、黄杆菌属(Flavobacterium);真菌包括曲霉菌属(Aspergillus)、青霉菌属(Penicillium)、支顶孢属(Acremonium)、木霉属(Trichoderma)等。
生物膜内细菌生物量比真菌生物量高出3~4个数量级,这说明实际给水管网中的HA生成微生物主要为细菌,而非以往文献中提及的真菌。反应52h后,AR采样片生物膜内的细菌总数小幅下降,主体水中的细菌总数大幅上升;采样片生物膜的微生物群落组成和多样性均发生了一定程度的改变。由图6可知,潜在HA生成细菌中,假单胞菌属的相对丰度急剧下降,红球菌属和黄杆菌属的相对丰度有所增加;各潜在HA生成真菌菌属的相对丰度变化相对较小。

图6:潜在HA生成细菌(a)和真菌(b)的相对丰度在HP甲基化反应前后的变化
3. 筛选出了一种HA生成优势细菌
从AR中分离出了8株可培养菌,并利用16S全长测序进行了菌种鉴定。对每株细菌的HA甲基化能力进行测定,结果如图7所示:每株细菌都可将HP甲基化为HA,其中Z001(伴熊鞘氨醇单胞菌)和Z006(摩拉维亚假单胞菌)的总HA生成量最大,但前者更易生成2,3,6-TCA,后者更易生成2,4-DCA。

图7:8株细菌的HA生成能力
基于实际出厂水和管道生物膜样品的细菌群落组成,可知上述8株细菌在管网内属水平的分布情况(见图8),其中鞘氨醇单胞菌属和假单胞菌属具有较大的丰度优势。结合细菌的HA生成能力、群落内丰度以及主要生成的HA种类,伴熊鞘氨醇单胞菌可被认为是一株优势HA生成细菌。

图8:8株细菌对应菌属在出厂水和管道生物膜样品中的分布情况
4. 提出了管网内潜在HA嗅味风险评估方法和新的饮用水2,4,6-TCP限值
通过管网内细菌生物量、HA生成菌相对丰度、HA生成能力,建立了潜在HA嗅味风险评估方法(图9)。根据公式Eq(1),计算出水中最大容许细菌数(Cmax),再根据文献中实际管网水在不同条件下的细菌数量,提出用来评估不同等级嗅味风险的Cmax取值范围:(1)Cmax>106cells/mL为“低”风险;(2)104cells/mL≤Cmax≤106cells/mL为“中等”风险;(3)Cmax<104cells/mL为“高”风险。5种HA嗅味风险大小顺序为:2,4,6-TBA>2,4,6-TCA>2,3,6-TCA>2,4-DCA>2-MCA。基于嗅味污染控制,提出了相较于《生活饮用水卫生标准》GB5749-2006(0.2mg/L)更加严格的饮用水2,4,6-TCP限值——0.07mg/L。

Eq(1)

图9: 潜在HA嗅味风险评估方法流程图
与上述内容相关的发表论文
[1] Xinyan Zhou, Kejia Zhang*, Tuqiao Zhang, Cheng Cen, Renjie Pan. Biotransformation of halophenols into earthy-musty haloanisoles: investigation of dominant bacterial contributors in drinking water distribution systems. Journal of Hazardous Materials, 2020, 403, 123693.
[2] Xinyan Zhou, KejiaZhang*, TuqiaoZhang, YulongYang, MiaomiaoYe, RenjiePan. Formation of odorant haloanisoles and variation of microorganisms during microbial O-methylation in annular reactors equipped with different coupon materials. Science of The Total Environment, 2019, 679: 1-11.
[3] Kejia Zhang, Cong Cao, Xinyan Zhou, Feifei Zheng, Youmin Sun, Zhengqing Cai, Jie Fu*. Pilot investigation on formation of 2,4,6-trichloroanisole via microbial O-methylation of 2,4,6-trichlorophenol in drinking water distribution system: An insight into microbial mechanism. Water Research, 2018, 131: 11-21.
[4] Xinyan Zhou, Kejia Zhang, Tuqiao Zhang, Cong Li, Xinwei Mao. An ignored and potentialsource of taste and odor (T&O) issues—biofilms in drinking water distribution system (DWDS). Applied Microbiology and Biotechnology, 2017, 101(9): 3537-3550.












